通知公告

通知公告

当前位置: 首页 | 通知公告 | 正文

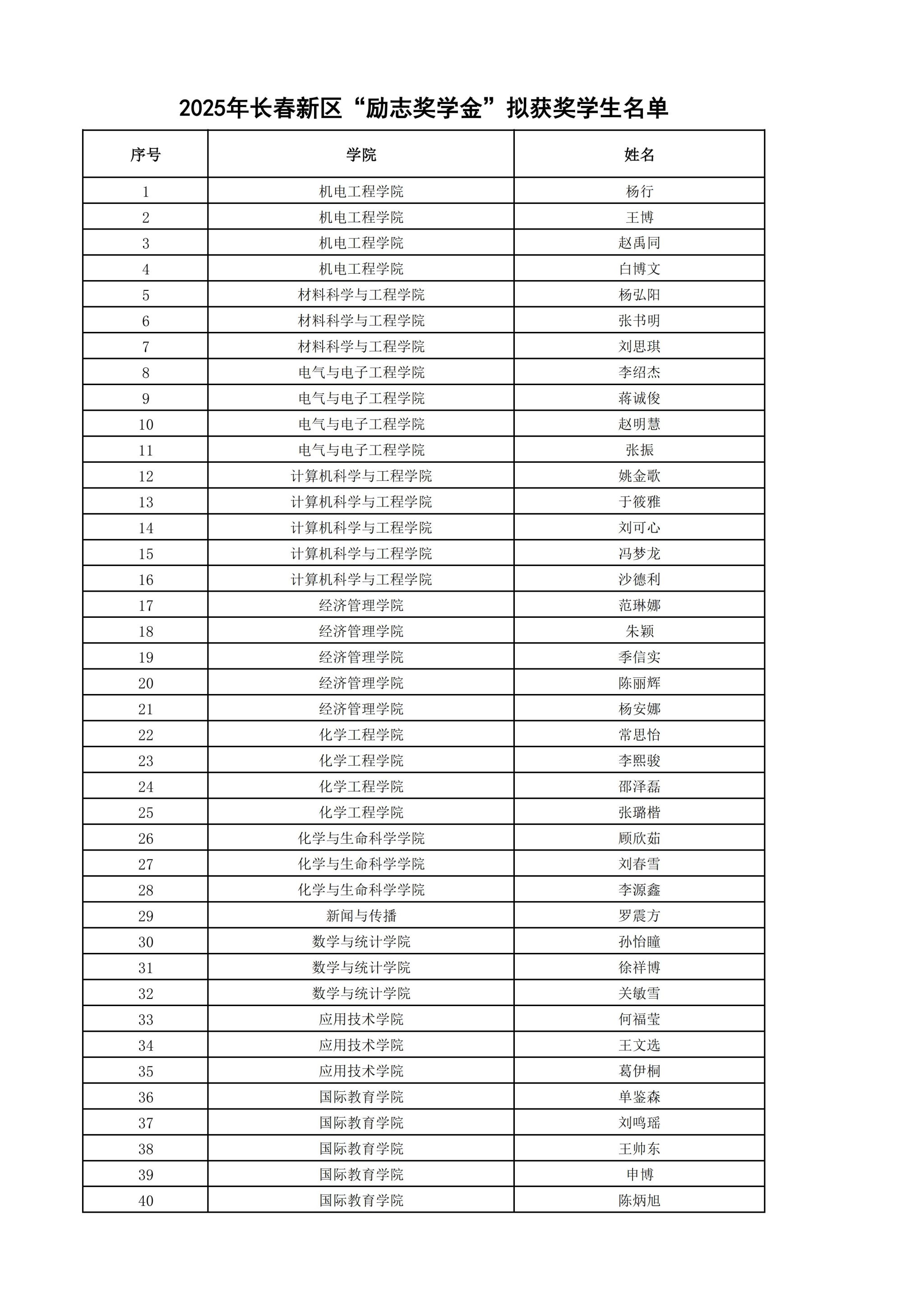
2025长春新区励志奖学金”评审结果公示

发布者: 发布时间:2025-12-01 浏览次数:

按照《长春工业大学长春新区“励志奖学金”评选奖励办法》的要求,经学生本人申请,学院初评,学校长春新区“励志奖学金”评审委员会评审,拟定2025年长春新区“励志奖学金”获奖学生名单,现予以公示,欢迎全校师生提出宝贵意见。

公示邮箱:zzgl@ccut.edu.cn

公示电话:0431-85717105

公示期:2025121日-125




长春工业大学学生工作处

                            2025年12月1日